Ok voila une réponse
je vais prendre chaque nomre en solo
1)
(5+2
6)=
(3+2+2*
2*
3)
Donc c'est comme a²+2ab+b²=(a+b)²
a²=3
b²=2
2ab= 2
6
donc
(
2+
3)²
alors
2+
3
2)
3-
2 ça reste la meme
on aditionne le premier résulatat avec le dexième
2+
3+
3-
2=2
3
non j'ai trouvé la solution je croi
(7+2
6)=
(6+1+2
1*
6)
ce qui nous donne encore (a+b)²=a²+2ab+b²
alors
(
1+
6)²
maintenant on aditione tout
2
3-
1
6
bonne chance et si tu n'as pas compris quelque chose dis le moi je suis à ton service 
voila une question et je veux la repense svp.....
developper:
(3
7+4)[sup][/sup]
on conclu que :
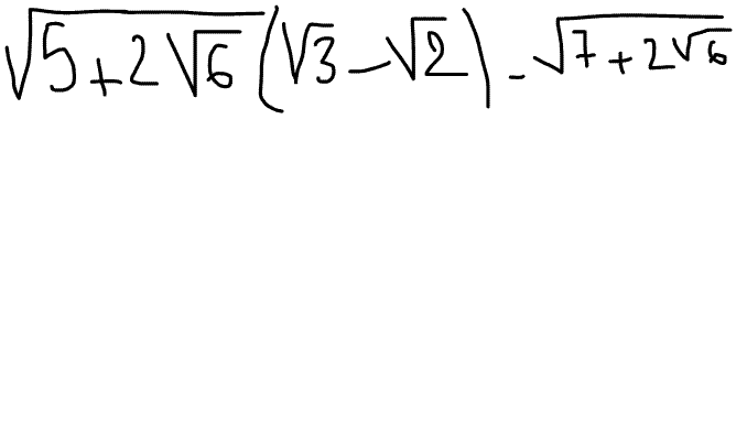
Bonsoir. Je te montre le début de ton opération:
(5 + 2V6)*3 = 15 + 6V6 = 9 + 2*3*V6 + 6 = (3 + V6)² (1)
(5 + 2V6)*2 = 10 + 4V6 = 4 + 2*2*V6 + 6 = (2 + V6)² (2)
Donc: Rac(5 + 2V6)* Rac(3) = Rac[ (5 + 2V6)*3 ]
et avec (1) = 3 + V6
Aussi:Rac(5 + 2V6)* Rac(2) = Rac[ (5 + 2V6)*2 ]
et avec (2) = 2 + V6
Donc le 1er terme de l'expression de Chiyaya vaut :
(3 + V6) - (2 + V6) = 3 - 2 = 1 ... C'est tout .
Tu peux le vérifier à la calculette.
J-L
Donc je refais l'exercice pour plus d'explication
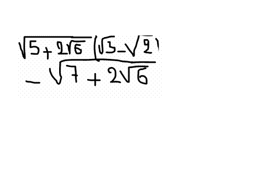
5+2
6)(
3-
2)-
(7+2
6)
=
(3+2+2
3*
2)(
3-
2)-
(6+1+2
1+
6)
et comme on sait tous a²+2ab+b²=(a+b)²
=
(
3+
2)²(
3-
2)-
(
1+
6)²
=(
3+
2)(
3-
2)-(1+
6)
et on sait aussi que (a+b)(a-b)=a²-b²
=3-2-1-
6
=-
6
Là je suis sur de ma réponse
;)
Désolé Diablesse, prends la peine de regarder ce que j'ai fait jusqu'au bout, en refaisant les mêmes calculs que moi...
Tu constateras (les 2 premières lignes) que j'ai d'abord travaillé sur (5 + 2V6) , et qu'ensuite (lignes suivantes) j'ai calculé
RAC(5 + 2V6) etc ... puis RAC(5 + 2V6)etc
Et j'ai bien dit que c'était le 1er terme. Le second avec (7 + 2V6) n'est pas encore fait ...
J-L
je suis vraiment désolé jacqlouis 
je n'ai pas bien vérifié ce que tu avais écrit
en tout cas tu es d'accord avec ce que j'ai écris oui ou non??
Comme Rac( 7 + 2V6 ) = 1 + V6 , on a pour le total de l'expression :
( 1 ) - ( 1 + V6 ) = - V6 Donc je suis d'accord avec ton résultat. J-L
bravo Diablesse !
Il faut une lueur de génie pour apercevoir des racines carrées de carrés remarquables dans ces expressions déroutantes
J'espère que Chiyaya retiendra cette astuce !
Merci c'est gentil
Mais je ne crois pas que je suis un géni je suis suelment une personne qui aime les maths
:)
merci beaucoup
j'esper aussi que Chiyaya la retiendra
Vous devez être membre accéder à ce service...
Pas encore inscrit ?
1 compte par personne, multi-compte interdit !
Ou identifiez-vous :