Inscription / Connexion Nouveau Sujet
Niveau Master
Partager :

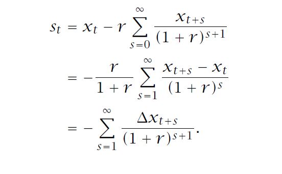
Somme infinie

Posté par
faicalplay
17-03-17 à 17:44

Salut Tt le monde

Je ne sais pas comment passer de la première à la dernière expression,
Merci d'avance pour votre aide.

Somme infinie

Posté par
etniopal
re : Somme infinie 17-03-17 à 17:50

Regarde si le fait qu'on ait   r/(1 + r) = 1 - 1/(1 + r),  peut t'aider .

Posté par
faicalplay
re : Somme infinie 17-03-17 à 18:15

Merci pour ta réponse, je ne sais pas comment aller plus loin

s_t=x_t-r\times\sum_{s=0}^{\infty}\frac{x_t+s}{(1+r)^{1+s}}
 \\ s_t=x_t-r\times[\frac{x_t}{(1+r)}+\sum_{s=1}^{\infty}\frac{x_t+s}{(1+r)^{1+s}}]
 \\ s_t=x_t-r\times\frac{x_t}{(1+r)}-r\times\sum_{s=1}^{\infty}\frac{x_t+s}{(1+r)^{1+s}}
 \\ s_t=x_t\times(1-\frac{r}{1+r})-r\times\sum_{s=1}^{\infty}\frac{x_t+s}{(1+r)^{1+s}}
 \\ s_t=x_t\times(1-(1-\frac{1}{1+r}))-r\times\sum_{s=1}^{\infty}\frac{x_t+s}{(1+r)^{1+s}}
 \\ s_t=x_t\times(\frac{1}{1+r})-r\times\sum_{s=1}^{\infty}\frac{x_t+s}{(1+r)^{1+s}}
 \\

Posté par
etniopal
re : Somme infinie 17-03-17 à 18:49

C'est quoi   xt+s ?

Posté par
faicalplay
re : Somme infinie 17-03-17 à 19:00

\Delta_{x_{t+s}}=x_{t+s}-x_t

Posté par
faicalplay
re : Somme infinie 17-03-17 à 19:05

C'est la variation de la variable x entre les deux période t et t+s

\Delta x_{t+s}=x_{t+s}-x_t

Posté par
carpediem
re : Somme infinie 17-03-17 à 19:59

salut

s_t = x_t - r \sum_0 \dfrac {x_{t + s}}{(1 + r)^{s+ 1}} = r ( \dfrac 1 r x_t - \sum_0 \dfrac {x_{t + s}}{(1 + r)^{s + 1}})

or \dfrac 1 r = \dfrac 1 {r + 1 -1} = \dfrac {-1} {1 - (1 + r)} = -\sum_0 \dfrac 1 {(r + 1)^s}

...

Posté par
faicalplay
re : Somme infinie 17-03-17 à 22:20

carpediem @ 17-03-2017 à 19:59



Merci,
Mais ta deuxième ligne ne doit-elle pas satisfaire (1+r) soit inférieur à 1 pour que :

 \dfrac 1 r = -\sum_0 \dfrac 1 {(r + 1)^s}      

Le reste es-il correct

s_t = x_t - r \sum_0 \dfrac {x_{t + s}}{(1 + r)^{s+ 1}} = r ( \dfrac 1 r x_t - \sum_0 \dfrac {x_{t + s}}{(1 + r)^{s + 1}})
 \\ s_t=r\times (x_t \frac{1}{r}-\frac{x_t}{(1+r)}-\sum_{s=1}^{\infty}\frac{x_{t+s}}{(1+r)^{s+1}} )
 \\ s_t=r\times (x_t \frac{1}{r(1+r)}}-\sum_{s=1}^{\infty}\frac{x_{t+s}}{(1+r)^{s+1}} )
 \\ s_t=- \frac{r}{1+r}\times (\sum_{s=1}^{\infty}\frac{x_{t+s}}{(1+r)^{s}} -x_t \frac{1}{r})
 \\ 
 \\ sachant que         \dfrac 1 r = -\sum_0 \dfrac 1 {(r + 1)^s}       
 \\ s_t=- \frac{r}{1+r}\times (\sum_{s=1}^{\infty}\frac{x_{t+s}}{(1+r)^{s}} -\sum_{s=1}^{\infty} \frac{x_t}{(1+r)^s})
 \\ 
 \\

Posté par
carpediem
re : Somme infinie 18-03-17 à 09:30

effectivement ...

pour ton énoncé :

pour le passage de la deuxième ligne à la troisième ligne déjà je ne comprends pas où est passé le r du numérateur ...

sinon pour le passage de la première ligne à la deuxième je le ferai à l'envers : partir de l'expression de cette deuxième ligne et vérifier qu'on obtient bien la première ligne :

- \dfrac r {1 + r} \sum_1 \dfrac {x_{t + s} - x_t} {(1 + r)^s} = - \dfrac r {1 + r} \sum_1 \dfrac {x_{t + s}} {(1 + r)^s} + \dfrac r {1 + r} x_t \sum_1 \dfrac 1 {(1 + r)^s} = ...

et il me semble qu'il faut bien que 1 + r < 1 ... mais comme on n'a pas l'énoncé ...



Vous devez être membre accéder à ce service...

Pas encore inscrit ?

1 compte par personne, multi-compte interdit !

Ou identifiez-vous :


Rester sur la page

Inscription gratuite

Fiches en rapport

parmi 1760 fiches de maths

Désolé, votre version d'Internet Explorer est plus que périmée ! Merci de le mettre à jour ou de télécharger Firefox ou Google Chrome pour utiliser le site. Votre ordinateur vous remerciera !