Inscription / Connexion Nouveau Sujet
Niveau autre
Partager :

Système d équation différentielle

Posté par Angy1984 (invité) 26-11-05 à 22:53

Bonjour

Je rencontre quelques difficultés pour résoudre mon sytème

x'=-2tx+y          x(0)=2
y'=-x-ty           y(0)=1

J'ai commencé quelque chose mais ne sait pas si c'est juste et encore moins comment continuer...
x"=-2x'+y'=-2x'-x-ty
y=x'+2tx

d'ou x"=-2x'-x-t(x'+2tx) d'ou x"+2x'+x+t(x'+2tx)=0
Les solutions de cette éqution sont la base (exp (r1t),exp(r2t))
x"+x'(2+t)+x(1+2t^2)=0
r^2exp(rt)+r(2+t)epx(rt)+(1+2t^2)exp(rt)=0
r^2+r(2+t)+(1+2t^2)=0

delta (2+t)^2-(4*(1*(1+2t^2)) il sera négatif qq soit t

je sais que l'on a une solution du type x(t)=Aexp(r1t)+Bexp(r2t) et de la on pourra trouver y(t) mais je ne sais aps comment faire...

Pourriez vous m'aider ?
Merci d'avance

Angélique

Posté par
JJa
re : Système d équation différentielle 27-11-05 à 08:45

x'=-2tx+y          x(0)=2
y'=-x-ty           y(0)=1
Une méthode consiste à éliminer (y) pour arriver à une équation ne comportant que des (x) :
y = x'+2tx
y' = x'' + 2t x' + 2x
donc :
x'' + 2t x' + 2x = -x - t(x'+2tx)
x'' +3t x' + (3 +2t²)x = 0
Ensuite, on résout cette EDO pour trouver la fonction x(t). Puis y(t) est calculée par y = x'+2tx et les deux constantes d'intégration sont déterminées par les conditions x(0)=2 et y(0)=1.

Posté par Angy1984 (invité)re : Système d équation différentielle 27-11-05 à 11:05

Bonjour

Merci pour vôtre réponse mais je ne comprends pas pourqoui lorsque l'on dérive x dans la 1ère éqaution on ne dérive pas t sachant que x et y sont des fonctions de t.
Pour la résolution j'ai du mal avec les t...

on doit avoir r^2+3tr+(3+2t^2)=0

on calcul le delta,selon la valeur de t...il sera positif ou négatif
delta= 9t^2-(4*1*(3+2t^2))
        t^2-12
on étudie selon t le signe de ce delta il est toujours positif et s'annule pour t=racine(12) et t=-racine(12)
r1 = -3t+racine (t^2-12)/18
r2 =  -3t - racine (t^2-12)/18

x(t)=Aexp(r1t)+Bepx(r2t)
et puis on doit calculer pour différent valeur de t...

Merci d'avance Angélique

Posté par
JJa
re : Système d équation différentielle 27-11-05 à 12:27

" je ne comprends pas pourqoui lorsque l'on dérive x dans la 1ère éqaution on ne dérive pas t sachant que x et y sont des fonctions de t "
La dérivée de la fonction t est t'=1.
La dérivée de xt est  (x')t + (t')x = (x')t + x

Posté par Angy1984 (invité)re : Système d équation différentielle 27-11-05 à 17:15

Bonjour

Merci en effet oui j'avais oublié de considérer ceci comme une fonction composée...mais est ce que la suite du raisonnement est bon s'il vous plait?

Merci d'avance

Angélique

Posté par
JJa
re : Système d équation différentielle 27-11-05 à 20:09

Non, je regrette, la suite de vos calculs est fausse.
En effet, la méthode que vous employez ne convient que pour des équations différentielles à COEFFICIENTS CONSTANTS.
L'équation :
x'' +3t x' + (3 +2t²)x = 0
n'est pas dans ce cas, puisque les coefficients (3t) et (3+2t²) dépendent de t et ne sont donc pas constants.
La résolution de cette équation requiert des connaissances d'un niveau bien plus élevé.
Je crois qu'il faudrait tout vérifier depuis le début. N'y a-t-il pas une erreur de recopie dans l'énoncé du problème ? C'est ce qui me semble le plus probable. Ou une erreur dans les transformations qui ont conduit à cette équation ?
Je doute que l'on vous pose une question d'un tel niveau, s'il n'y avait pas d'erreur préalable.
Mais au fait, quel est votre niveau ?

Posté par Angy1984 (invité)re : Système d équation différentielle 27-11-05 à 20:24

Bonjour

Je suis en 2ème année de physique chimie
En fait ce système fait parti d'un devoir maison mmais le problème est que l'on a pas appris à résoudre ce type de système on a appris sans t...
Merci d'avance

Posté par
JJa
re : Système d équation différentielle 27-11-05 à 22:22

Si c'est la notation de la variable (t) qui vous gène, il suffit de changer de notations. C'est exactement le même problème que :
f' = -2xf+g        f(0)=2
g' = -f-xg         g(0)=1
avec les fonctions f(x) et g(x) à trouver.
( x, y et t ont été remplacés respectivement par f, g et x)
Mais cela ne modifie en rien les difficultés que vous rencontrerez. En effet, l'équation
f'' +3x f' + (3 +2x²)f = 0
a une première famille de solutions "faciles" : f(x) = C.x.exp(-x²). Mais il est plus ardu de trouver la seconde famille de solutions, ce qui est nécessaire pour satisfaire à la condition f(0)=2. C'est possible, mais d'un niveau plus élevé (sauf erreur de jugement de ma part).
C'est la raison pour laquelle je pense plutot à une erreur quelque part, peut-être typographique dans l'énoncé du problème.

Posté par
JJa
re : Système d équation différentielle 27-11-05 à 22:32

Il est également possible que vous n'ayez pas besoin d'expliciter les fonctions pour répondre strictement aux questions posées par la suite. Il n'est pas râre que l'on soit capable de répondre à certaines questions sans connaitre l'expression analytique exacte des solutions. Faites très attention à la façon dont les questions sont formulées.
Ceci étant très hypothétique, bien évidemment.

Posté par Jaizukri (invité)re : Système d équation différentielle 28-11-05 à 22:24

je confirme que l'énoncé est bien celui écri part Angy, avec juste une petite différence pour ma part puisque le profs veut qu'on ai chacun un DM différent (et ce n'est que le 3éme exo...)

x'=-2tx+y                 x(0)=2
y'=-x-6ty     avec        y(0)=1

Les questions sont:
Déterminer les valeurs de (x(k/20),y(k/20) pour 0<k<20
(avec < signifiant inférieur ou égal)

Dessiner alors la courbe (x(t),y(t)) pour 0<t<1
(avec < signifiant inférieur ou égal)

et je suis complétement bloquer... j'ai fé la PC(A)x en utilisat la matrice  -2t  1
                      -1 -6t
je trouve donc PC(A)x= x²+8tx+12t²+1
et Delta= 16t²-4

et la, je ne sait pas quoi faire...
quelqu'un peut nous aider?
merci d'avance.

Posté par Jaizukri (invité)re : Système d équation différentielle 28-11-05 à 22:25

la matrice a mal été posté:
-2t  1
-1  -6t

Posté par
JJa
re : Système d équation différentielle 29-11-05 à 09:39

Alors, c'est bien ce que je soupçonnais :
il n'est nul part demandé de calculer analytiquement x(t) et y(t), c'est à dire qu'il n'est pas demandé de formule littérale exprimant ces fonctions.
Apparemment, c'est un exercice portant sur une méthode par discrétisation.
Dans ce cas, il faut étudier le cours qui expose cette méthode et l'appliquer.
Si cela peut vous aider, les figures jointes donnent les représentations graphiques de x(t) et y(t) sur 0<t<1. Les courbes continues sont tracées avec des pas très fins, donc sont de bonnes approximations numériques.
Par comparaison, les points (croix) sont tracés avec de grands pas de calcul ( 20 pas sur 0<t<1).

Système d équation différentielle

Posté par
JJa
re : Système d équation différentielle 29-11-05 à 09:40

:

Système d équation différentielle

Posté par
JJa
re : Système d équation différentielle 29-11-05 à 15:07

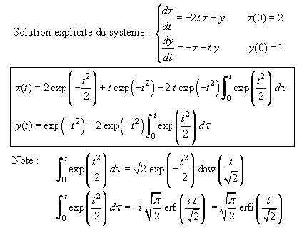
Pour Angy1984 :
Dans un de mes messages, je disais que la résolution analytique était possible. A titre d'information, le résultat, qui fait appel à une fonction spéciale (la fonction de Dawson), est donné par les formules jointes.
( Bien que je sois persuadé que ce n'est pas ce qui vous est demandé et que ces formules ne vous servent à rien)




Système d équation différentielle

Posté par Angy1984 (invité)re : Système d équation différentielle 29-11-05 à 16:20

Bonjour

Merci beaucoup pour toutes ces informtions.
Comment avez vous réussi à tracer votre cour s'il vous plait?
Notre prof de maths nous dit que s'i l'on sait programmer c'est très facile...étant ne en physique chimie nous n'avons jamais fait d'informatique ...
Il nous dit sinon de lui donner le programme permettant de calculer les différentes valeurs...
Un programme pour notre calculette ou pour VBA.
A quoi correspond erf et erfi s'il vous plait?
Merci d'avance

Posté par
JJa
re : Système d équation différentielle 29-11-05 à 17:17

http://mathworld.wolfram.com/Erf.html
http://mathworld.wolfram.com/Erfi.html
http://mathworld.wolfram.com/DawsonsIntegral.html

L'utilisation de ces fonctions spéciales n'a de l'intérèt pratique que si on a un logiciel de calcul où elles sont implémentées (c'est à dire directement accessibles comme les fonctions usuelles)

Posté par
JJa
re : Système d équation différentielle 29-11-05 à 17:20

Par exemple, un petit programme pour calculer x(t), y(t) et tracer les courbes :
:
          dt:=0.0001;     { choix de l'incrément de t }
          t:=0;
          x:=2;
          y:=1;
          repeat
                xp:=-2*t*x+y;
                yp:=-x-t*y;
                x:=x+xp*dt;
                y:=y+yp*dt;
                t:=t+dt;
                { içi, tracer les points (t, x) et (t, y) }
          until(t>=1);

Posté par Angy1984 (invité)re : Système d équation différentielle 29-11-05 à 17:42

Je vous remercie vraiment,c'est très très gentil de votre part

Angélique

Posté par Angy1984 (invité)re : Système d équation différentielle 29-11-05 à 17:51

Juste une petite précision s'il vous plait.

Erf et erfi sont elles utilisables par VBA?
Le petit programme est pour ma calculette?

Merci d'avance



Vous devez être membre accéder à ce service...

Pas encore inscrit ?

1 compte par personne, multi-compte interdit !

Ou identifiez-vous :


Rester sur la page

Inscription gratuite

Fiches en rapport

parmi 1768 fiches de maths

Désolé, votre version d'Internet Explorer est plus que périmée ! Merci de le mettre à jour ou de télécharger Firefox ou Google Chrome pour utiliser le site. Votre ordinateur vous remerciera !