Bonjour à tous,
Je cherche à retrouver deux formules pour un problème :
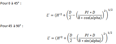
1 - Dans le carde de la mise à plat d'une gaine (Cf 1) on me donne la formule (Cf 2) => Pour chaque valeur de l'angle Alpha L varie. Le cercle de base a un diamètre D. La hauteur de mise à plat est H. Comment retrouver cette formule ?
2 - Toujours dans le cadre de la mise à plat d'une gaine mais en la faisant passer par une étape intermédiaire (Passage d'une section circulaire à carrée (Cf3)) on me donne ces deux formules (Cf 4).
Je comprends très bien la forme des formules (Pythagore) Mais pas le deuxième terme "(D/2 -(PI*D/8cos(alpha))" pour la première eq. Du moins comment on arrive à l'exprimer en fonction de D et de alpha.
Je vous remercie d'avoir pris le temps de me lire et encore plus à ceux qui tenteront de me répondre.
Bonne journée à vous.
AllanBzh

Vous devez être membre accéder à ce service...
Pas encore inscrit ?
1 compte par personne, multi-compte interdit !
Ou identifiez-vous :