Bonjour,
Ce problème est issu du problème de dénombrement de ce topic :
Arbre mathématiques.
Celui qui le résoudra viendra à l'aide du désespéré posteur dudit topic.
Ca ne doit pas être extrémement difficile mais peut-être délicat, moi je n'ai pas le temps d'y réfléchir pour l'instant.
Celui qui s'y colle est libre de changer les notations.
Pour tout entier k>2 on note .
On définit par récurrence (je donne les premiers termes et après j'explique) :
Le principe de récurrence est le suivant.
On a qui est écrit comme une somme de
pour certains i. On définit
en remplaçant dans
chaque
par
.
Ainsi, comme , on a
La quesion est d'exprimer en fonction de n par une formule "directe".
Ha Oui ! je n'ai pas bien lu l'énoncé.
En fait, les Sn que j'ai calculé devront être sommés à nouveau pour obtenir la somme de ces sommes. Je n'ai pas le temps de continuer ce soir ni demain. Mais la méthode sera la même. Tu devais pouvoir t'en sortir.
Que nenni. Tu dis "la méthode sera la même" je crois que tu t'affirmes encore trop vite, c'est plus compliqué que ça 
Bonjour.
Voilà où j'en suis. Il est simple de connaître les An. Par contre, il est moins aisé de conaître le nombre de ces An dans Sn. Pour tenter de répondre, je pose :
.
Alors, on a facilement :
.
.
.
:
:
.
.
Ce qui ferait penser à une représentation matricielle ?
A plus RR.
Dixit stokastik : "Que nenni. Tu dis "la méthode sera la même" je crois que tu t'affirmes encore trop vite, c'est plus compliqué que ça".
Ma réponse : il ne faut quand même pas en faire une montagne !
Sn = 2*((2n-1)!)/(((n-1)!)*((n+1)!))
Comment tu as trouvé ça ?
On doit trouver 5, 14, 42, 132 poue les premiers termes.... ça marche!!
Tu ne vas pas me dire que ce n'était pas plus compliqué que la somme partielle des Ak ? 
Bonjour,
Non, je ne dirai pas que " que ce n'était pas plus compliqué que la somme partielle des Ak "
Mais c'est assez simple lorsqu'on a bien compris l'énoncé de la question et surtout le mécanisme de la récurrence.
En fait, c'est beaucoup plus compliqué à expliquer qu'à comprendre : j'ai eu du mal à donner une vision claire de ce qui me semblait relativement évident après avoir construit le tableau à double entrée, comme on le fait habituellement dans ces cas là.
J'espère que l'explication, donnée sur les 3 pages jointes, suffira.
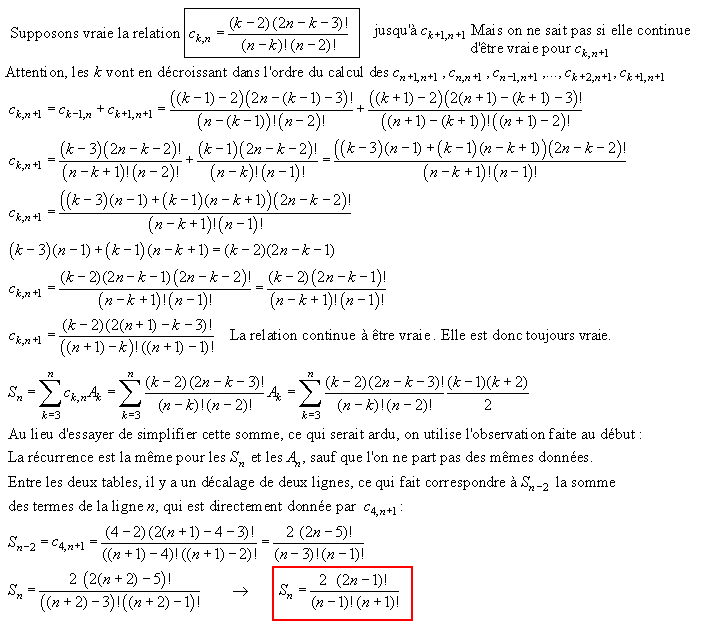
Première page : La formule de récurrence.
il y a plusieurs coquilles et fautes d'orthographe à la recopie ( "éyant" !!! au lieu de "ayant")
Surtout, à la deuxième page, c'est : "de droite à gauche" et pas ce qui est écrit.
J'ai oublié de signaler la limite inférieure de validité de la formule des coefficients : La formule s'applique pour k>3.
Pour k=3, on a évidemment c_(3,n) = c_(4,n)
Vous devez être membre accéder à ce service...
Pas encore inscrit ?
1 compte par personne, multi-compte interdit !
Ou identifiez-vous :