Inscription / Connexion Nouveau Sujet
Niveau Maths sup
Partager :

Problème trigonométrie et formules d Euler.

Posté par
Un_Nien
16-10-05 à 20:42

Bonsoir.

J'ai à démontrer ça :

1) cos(a).cos(b) - sin(a).sin(b) = cos(a+b)

Et à trouver ça :

2) cos(a) + cos(b) = ?

Le tout en passant par les nombres complexes.

Pour le 1), j'ai appliqué cos(a) = (1/2).(ei.a + e-i.a) etc ..., et finalement je tombe sur

(1+i).cos(a+b) + (1-i).cos(a-b)

(j'ai refais le calcul 3 fois).

J'ai même essayé de partir de cos(a+b), mais là je bloque dès le début.

Quelqu'un pourrait-il m'aider sur ce point SVP (juste me donner des pistes, pas me le faire SVP )?

Et puis pour le 2), je commence avec le même type de formule, mais je bloque ensuite.

Quelqu'un pourrait-il aussi m'aider pour le 2) SVP ?

En vous remerciant.

Posté par
piepalm
re : Problème trigonométrie et formules d Euler. 16-10-05 à 21:11

Je ne comprends pas : c'est bien la méthode...
on a d'une part le produit des cosinus, d'autre part celui des sinus (n'as-tu pas oublié le i au dénominateur des sinus?) les termes en (a-b) s'éliminent et il ne reste que les termes en (a+b) et -(a+b)
pour déduire le 2) du 1) on peut poser a=p+q et b=p-q

Posté par
Un_Nien
re : Problème trigonométrie et formules d Euler. 16-10-05 à 21:38

Pour le 2), effectivement, je pourrais le déduire du 1) (je n'y avais même pas pensé oups ^^).

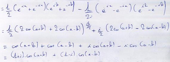
Pour le 1), voilà comment j'ai fait :



Je me suis forcément trompé quelque aprt, mais je n'arrive pas à voir où snif ...

Problème trigonométrie et formules d Euler.

Posté par
piepalm
re : Problème trigonométrie et formules d Euler. 16-10-05 à 23:20

lorsque l'on multiplie cosa par cosb, c'est 1/4 en facteur; de même quand on multiplie les sinus, c'est (1/2i)^2=-1/4 (il n'y a donc plus de i!)

Posté par
Un_Nien
re : Problème trigonométrie et formules d Euler. 16-10-05 à 23:30

AHHHHHH, mais je suis à jeter du 11ème étage moi !!!

Oulala, franchement j'ai envie de me faire tout petit là ^^

Merci de m'avoir signaler mon erreur

++



Vous devez être membre accéder à ce service...

Pas encore inscrit ?

1 compte par personne, multi-compte interdit !

Ou identifiez-vous :


Rester sur la page

Inscription gratuite

Fiches en rapport

parmi 1768 fiches de maths

Désolé, votre version d'Internet Explorer est plus que périmée ! Merci de le mettre à jour ou de télécharger Firefox ou Google Chrome pour utiliser le site. Votre ordinateur vous remerciera !